一、案例背景
超级电容器(特别是双电层电容器EDLC)因高功率密度、快速充放电等优点,成为可持续能源存储的关键技术。二维材料如石墨烯和h-BN因其独特的电化学性质备受关注,但石墨烯带隙几乎为零和h-BN的宽带隙(h-BN纳米片带隙为4.6 eV)限制了其直接应用。本研究通过密度泛函理论计算系统分析了石墨烯/h-BN结构稳定性、电荷分布和量子电容,评估其为超级电容器电极材料的适用性。
二、建模与计算方法
作者通过MedeA Environment创建含C结构,借助Builder Supercell构建4x4x1超胞,逐步取代C-C原子创建C24B4N4、C20B6N6、C16B8N8、C8B12N12、C4B14N14及B16N16结构。采用MedeA VASP模块中GGA-PBE方法,对体系进行结构优化,其中体系截断能为520 eV;力收敛精度为0.01 eVÀ -1 ,电子收敛精度为10-5 eV。MedeA VASP优化体系,同时计算结构形成能,分析Bader电荷、能带结构、态密度等电子性质;随后通过公式计算体系量子电容。
三、结果与讨论
3.1 石墨烯/h-BN结构分析
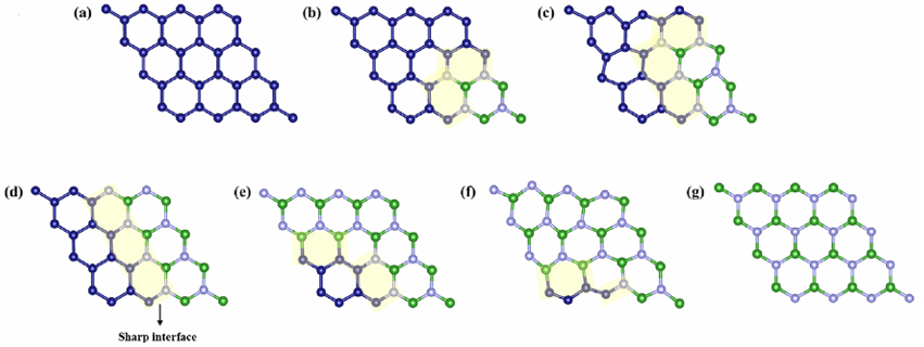
研究人员创建C32、C24B4N4、C20B6N6、C16B8N8、C8B12N12、C4B14N14及B16N16体系见图1。通过MedeA VASP优化后,各体系在Z方向无横向移动,保持二维平面结构;所有体系的形成能(图2)均为负值,表明实验上可合成。

图1 (a) C32; (b) C24B4N4; (c) C20B6N6; (d) C16B8N8; (e) C8B12N12; (f) C4B14N14; (g) B16N16

图2 形成能EFE
3.2 石墨烯/h-BN电子性质及量子电容研究
作者通过MedeA VASP模块研究各体系电荷密度、能带、态密度等电子性质:
1)从图3可知,C16B8N8电荷密度分布在整个纳米片中,石墨烯与h-BN之间有强相互作用,其余掺杂体系均为弱相互作用;
2)表1可知,石墨烯/h-BN纳米片均为间接带隙半导体;除C24B4N4外,其余体系带隙随B-N浓度增加而增大;
3)C16B8N4空穴有效质量最高0.047 m0,源于能带边缘的局域态。

图3 (a) C24B4N4; (b) C20B6N6; (c) C16B8N8; (d) C8B12N12; (e) C4B14N14
表1 各体系能带类型、带隙、功函数、费米能级及有效质量

B16N16纳米片拥有最大的表面电荷(Σ;-17.583μC cm-2)及量子电容(Cq;31. 539μF cm-2 at -0.65 eV);掺杂体系中C4B14N14体系Cq最优(21.518 μF cm-2 at -0.99 eV),局域态密度增强有效质量,进而提升Cq。综上,石墨烯/h-BN纳米片适用于非对称超级电容器阴极。

图4 各体系 (a) Σ及(b) Cq;局域电势下最大值:(c) Σ及(d)Cq
四、总结与展望
本案例中,研究人员利用密度泛函理论系统揭示了石墨烯/h-BN纳米片通过界面工程调控电子结构,显著提升量子电容。C16B8N8及C4B14N分别因具有较强的界面相互作用、较高的量子电容成为最具潜力的非对称性超级电容器阴极材料。
参考文献:
DOI: 10.1039/d3cp04326f
使用MedeA模块:
MedeA Environment
MedeA VASP



