一、案例背景
近年来,随着纳米级电子器件的快速发展,新型谷和自旋材料迅速兴起。谷是固体材料能带色散中的能量极值点,是除电荷和自旋外的载流子又一个新的自由度。原子薄层半导体,如过渡金属二硫化物(TMDs)已成为探索谷自由度的潜在材料。作为一种后前景的谷电子材料,具有空间反演对称性破缺的TMDs单层在第一布里渊区的狄拉克点具有两个不等效的能量谷。磁邻近效应可有效操纵和改善TMDs单层谷极化。本研究基于密度泛函理论详细研究了磁邻近耦合对异质结电子结构、谷极化和磁晶各向异性的影响。
二、建模与计算方法
作者通过MedeA Environment创建了VI3、WSe3单层结构,借助MedeA Interface Builder构建界面结构;采用MedeA VASP模块中GGA-PBE方法,对体系进行结构优化并分析磁性拓扑特征,计算中V-3d轨道加Ueff为3.68 eV。其中体系截断能为500 eV,结构优化中K点为7x7x1,力收敛精度为0.01eV À-1 ;电子性质分析中考虑自旋轨道耦合,K点为13x13x1,电子收敛精度为10-6 eV。
三、结果与讨论
3.1 实VI3、WSe2单层研究
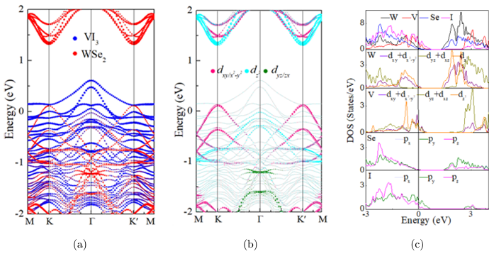
本案例中作者通过MedeA Environment创建了VI3、WSe3单层结构,见图1a、1b。VI3和WSe3单层结构均成蜂窝状晶格,其中W (V)原子被Se (I)加在中间。采用MedeA VASP对VI3、WSe3单层结构优化并进行电子性质分析,见图1c-h。WSe3单层有1.670 eV的直接带隙特征;考虑自旋轨道耦合效应,带隙减小了374 meV,同时价带和导带出现明显能量分裂,没有谷极化现象。VI3单层表层出典型的铁磁性半金属特征。DOS表明,WSe3费米能级附近的价带和导带主要来自W-d轨道贡献,而VI3单层则来自V-d和I-p轨道贡献。


图1 (a) WSe2结构; (b) VI3结构; (c-e) WSe2和 (f-h) VI3单层的能带结构及DOS
3.2 VI3 / WSe2异质结研究
作者构建了VI3 / WSe2异质结结构,随后计算异质结电子性质,见图2及图3。
1)VI3 / WSe2异质结中价带主要来源于VI3层,导带主要来源于WSe2层,这表明异质结中存在典型的II型能带排列,有助于延长谷极化激子的寿命。
2)VI3 / WSe2异质结的CBM主要由W-e1态(dxy , dx2-y2)贡献。W-e1态在自旋分裂中起主要作用(图2c)。
3)VI3单层功函数(5.993 eV)大于WSe2单层(5.029 eV)(图3),表明VI3 / WSe2异质结中电子从WSe2层流向VI3层。

图2 异质结的能带结构及W-d轨道投影、DOS图

图3 (a) VI3功函数;(b) WSe2功函数 (c) VI3 / WSe2异质结功函数; (d) VI3 / WSe2异质结电子转移方向
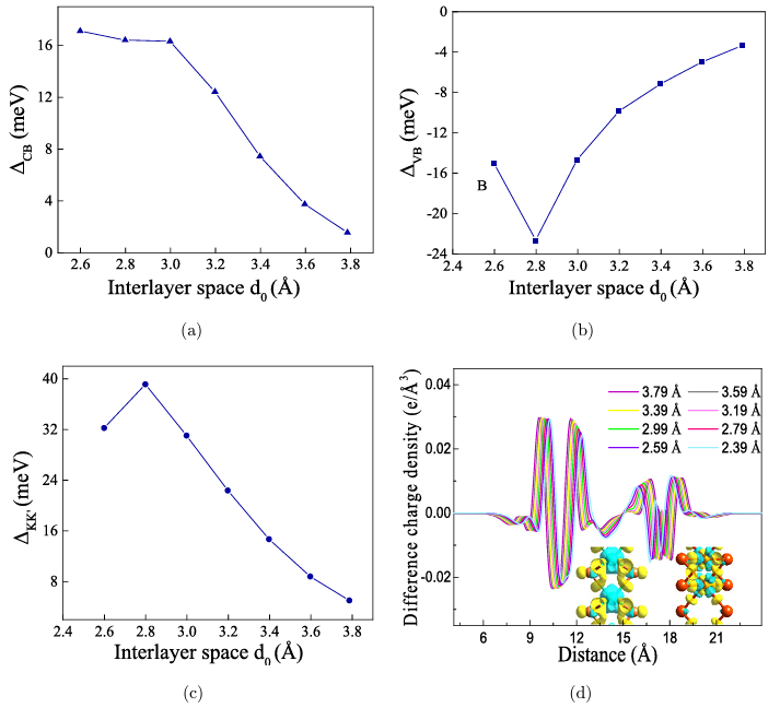
调整层间距可改变界面轨道耦合从而调整VI3 / WSe2异质结电子结构,见图4。随着层间距d0减小,△CB(导带)呈增加趋势,而△VB(价带)呈下降趋势;总谷极化随d0减小逐渐增加,d0进一步减少而略有下降。W-V原子耦合负责VI3 / WSe2异质结的谷极化,d0减小缩短W-V原子距离,促进W-V原子耦合来改变谷极化。同样研究发现拉伸应变促进异质结的谷极化;VI3 / WSe2异质结的谷极化可通过改变V自旋方向大幅度调整。

图4 不同层间距d0下VI3 / WSe2异质结:(a) 导带CB;(b) 价带VB; (c) 总谷极化;(d) 电荷密度
四、总结与展望
本案例中,作者利用密度泛函理论通过改变层间距、面内应变和V原子自旋方向等,系统研究了VI3 / WSe2异质结的电子结构、自旋-谷极化和磁各向异性等特征。结果表明,改变层间距和施加面内应变可通过改变W-V原子耦合调整VI3 / WSe2异质结的自旋和谷分裂程度;当V自旋方向沿着(100)方向时,出现最大极化值8.7 meV。综上所述,VI3 / WSe2异质结是新型自旋电子学和谷电子学器件的良好候选者。
参考文献:
DOI: 10.1142/S0217979224502977
使用MedeA模块:
MedeA Environment
MedeA Interface Builder
MedeA VASP



