一、案例背景
热散射定律(TSLs)通过振动谱(固体中称为声子)捕捉化学键与晶体结合对中子热化的影响。现代TSLs评估基于计算材料模型生成,作为Evaluated Nuclear Data File(ENDF)库广泛使用。除水外,TSL评估基于温度无关的振动谱生成。然而,固体材料声子谱随温度变化可能影响反应堆活性。本文提出利用机器学习势函数(MLP)生成热中子散散定律(TSL)材料模型的新方法,解决传统方法忽略温度效益的局限性。作者以氢化钇(YHx)为例,验证MLP方法在预测声子谱温度依赖性上的有效性。
二、建模与计算方法
2.1 训练集
作者利用MedeA Environment创建YH2了,采用Random Substitutions创建YH1.8及YH1.6、YH1.7等结构,之后用Builder Supercells创建2x2x2超晶胞,覆盖H浓度x=1.6~2.0范围。对各结构进行在600 K及1000 K下进行低精度 NPT AIMD模拟,生成747个训练集结构。 2.2 计算方法 作者用MedeA VASP中AIMD从低精度到高精度生成训练集;采用MedeA MLPG模块进行机器学习训练,见图1;随后基于SNAP/qSNAP,采用MedeA LAMMPS结合MedeA Phonon模块计算声子谱,MLP-MD预测的声子谱与实验结果一致。

图1 MedeA 中MLP生成方法
三、结果与讨论
3.1 机器学习势训练
本案例中研究人员用MedeA MLPG模块进行YH1.8及YH1.6、YH1.7等体系机器学习训练,生成了不同Jmax值的SNAP和qSNAP模型,见图2。MLPG直接输出的均方根误差(RMSE)表明,随着Jmax参数增大,SNAP和qSNAP精度显著提升;SNAP和qSNAP的能量、力RMSE均低于AIMD计算值;SNAP/qSNAP能有效拟合DFT力场。SNAP(2Jmax = 12)和qSNAP(2Jmax = 8)均可用于MLP-MD声子计算。

图2 SNAP与DFT的RMSE收敛性和变化关系;(a)能量;(b)力;(c)计算误差; (d)qSNAP()与DFT能量的误差分别
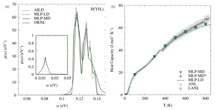
3.2 MLP-MD声子谱计算
作者基于SNAP/qSNAP,采用MedeA LAMMPS结合MedeA Phonon模块计算声子谱。从图中可知,MLP-MD计算的声子谱、热容等数据与实验测试结果高度一致。 图3 (a) 5K下MLP-MD声子谱及(b)热容与AILD、MLP-LD及实验结果对比
3.3 TSL评估
Y(YHx)和H(YHx)的TSLs(热中子散射定律)用FLASH程序以ENDF-6格式生成File 7(MF 7)评估数据,温度范围为293.6~800 K。声子谱基于MLP-MD计算及实验测试值生成。从图中可知,基于温度依赖的MLP-MD的YHx TSL评估能更好预测中子散射趋势。

图4 MLP-MD计算的H() S(α, β)与橡树岭国家实验室(ORNL)测试值对比
四、总结与展望
本案例中研究人员提出利用机器学习势函数(MLP)生成TSL材料模型新方法,首次在TSL中纳入温度引起的声子效应,提升中子散射预测精度。MLP-MD可视为TSL评估中纳入文档依赖声子效应有效预测工具。本案例为核反应堆设计提供高保真中子学数据,降低临界计算的不确定性。
参考文献: DOI: 10.1016/j. anucene.2024.110978 使用MedeA模块: MedeA Environment MedeA VASP MedeA Phonon MedeA LAMMPS MedeA MLP MedeA MLPG



