2022年美国食品药品监督管理局 (FDA) 批准上市新药37个,其中化学小分子22个;2021-2022年间承办(此为承办日期,在此文章中默认往后推一年)经批准的新药58个,其中化学小分子29个。在此分享经SYNTHIA™逆合成分析设计后的分子合成路线,以飨化学和药化从业者、爱好者。
此期发布的化合物为2022年3月美国FDA批准的一类/一类/二类新药Ganaxolone、Lutetium Lu 177 vipivotide tetraxetan、Gallium Ga 68 gozetotide。此期分子中Lutetium Lu 177 vipivotide tetraxetan、Gallium Ga 68 gozetotide均以游离态的形式存在,其中Lutetium Lu 177 vipivotide tetraxetan以[ ]内酰胺键断裂的片段为分析对象,此文中不提供相关反应索引文献,如对引文感兴趣或者更多讨论请在文本最下方和我们进行联系。
本期分子


Ganaxolone 加奈索酮 Marinus
Approval 2022/3/18
方案一

方案1使用甲基锂和羰基进行反应,得到含有一对异构的产物经分离后拿到终产物。同样其他格式试剂也能达到此类效果,在具体实验中,需考虑实际收率以及位于17号碳位上的端基酮是否会参与反应并进行保护处理。
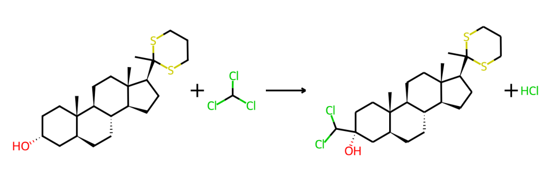
方案二


方案2中采用的起始物料来源于文献,通过对酮进行保护后,在3号位碳上插入一个甲基。此反应SYNTHIA™提醒可能会产生两个Cl未完全脱掉的副产物,如下图所示。经插入甲基后,再对保护的酮进行脱保护从而拿到终产物。

方案三


方案3中使用的起始物料价格较为便宜,通过对起始物料的双键还原后,对右侧的并环进行处理得到含共轭双键的羰基。使用Mitsunobu反应对羟基的构象进行转变后拿到R构型,通过三氯甲烷拿到终产物。此方案起始物料实惠,且对手性进行了处理,但步骤数稍多。
Lutetium Lu 177 vipivotide tetraxetan Pluvicto Novartis
Approval 2022/3/23
方案一







方案1采用了多个砌块逐片段的方式合成产物,对于SM1的合成,使用的是较为常规的方式,第一步采用了的反应步骤:US20040029290A1,第二步使用了常规的酰胺键合成的方法,值得一提的是,苄位的醛较为活泼,反应前需根据实际情况考虑是否对其保护。对于SM2使用了常规的还原、还原胺化、氰基水解等方式进行合成。再通过还原胺化和NH进行连接得到SM5,对于SM3的合成采用的也是常规的合成方案,对于SM4的合成引文如下:10.1021/JO00052A069,其中酸需要进行酯化处理后再进行反应。合成SM6后通过催化剂催化得到最终产物(相关引文:10.1021/ja011306o)。
方案二




方案2使用的方案略有不同,其中对于SM1脲基的合成较为冒险,在酸的存在下合成收率可能并不高,但可根据该思路通过其他方式来合成该基团,同时采用了开大环的方式构建长链。对于SM2的合成,采取了一步引入甲基及带胺的端基,通过还原胺化得到SM2,此步反应中酰胺基团上的NH活性较差,因此不参与反应。最后通过脱去一分子水拿到终产物,整体反应思路新颖,值得借鉴用来优化路线方案。但其中各步的收率需要斟酌,包括最后一步SYNTHIA™也提出了可能会产生多个副产物
Gallium Ga 68 gozetotide  Locametz  Novartis
Approval 2022/3/23
方案一



方案1的中间体通过使用叠氮化合物进行合成,另一个中间体通过羟基合成异氰酸酯。通过氨基和异氰酸酯得到脲基,最后对氰基进行还原得到终产物。此反应中带氰基和叠氮的化合物分子量虽然不小,危险性降低,实际操作中仍需注意反应安全。
方案二



方案2中对靠前中间体的合成采用了更为常规的反应,在第二步的水解过程中需注意条件尽量温和,防止氰基水解。而对于第二个中间体的合成采用了开环的方式,经合成关键中间体后,使用常见的取代及还原反应拿到最终产物。
【往期回顾】
SYNTHIA™实践应用第一期|2022年1月FDA/CDE批准分子合成路线(点击可查看)
SYNTHIA™实践应用第二期|2022年2月FDA/CDE批准分子合成路线(点击可查看)



